Hasil Dari 2 58 1 34
Cara Mengerjakan Deret Angka 1 1 3 2 5 3 Guru Ilmu Sosial
How To Find The Least Common Denominator Wikihow
Worksheet Matematika Kelas 3 Sd Printable Worksheets And Activities For Teachers Parents Tutors And Homeschool Families
Hasil Dari 2 58 1 34 のギャラリー
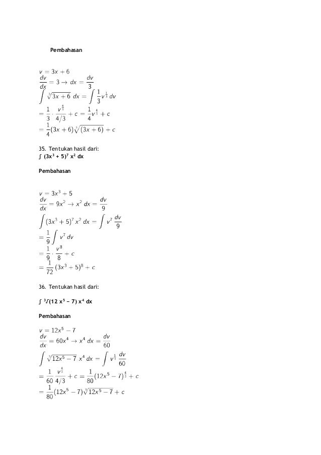
Remidi Matematika Bab Integral
Operasi Penjumlahan Bilangan Pecahan Youtube
If 5 3 28 9 1 810 8 6 214 And 5 4 19 Then What Is 7 3 Quora
Hasil Dari 3 1 5 8 3 4 Adalah Brainly Co Id
Yumpu Pdf Downloader
Bilangan Bulat
Math
Doc Soal Pecahan Ida Yuliana Academia Edu
How To Do Fractions With Pictures Wikihow
2
Tentukan Hasil Dari 3 8 1 4 Youtube
Hasil Dari 3 2 5 4 1 3 2 4 6 Hasil Dari 5 3 8 2 1 4 1 2 3 Brainly Co Id
Buatlah Gambar Yang Menunjukkan Pecahan 3 5 Dan 4 6
Rumus Kuartil Desil Persentil Simpangan Dan Contoh Soal
Hasil Dari 3 1 4 2 3 4 2 1 2 Adalah Youtube
Tentukan Hasil Dari A 5 1 4 1 2 3 2 1 6 B 7 5 25 1 2 5 Youtube
Jawaban Buku Matematika Kelas 7 Ayo Kita Berlatih 1 6 Hal 74 Pada Peta Berikut 1 Cm Pentium Sintesi
Hasil Dri 2 3 4 5 1 3 X 5 8 4 2 5 Brainly Co Id
Cara Mengerjakan Deret Angka 1 1 3 2 5 3 Guru Ilmu Sosial
What Is The Relation Between Following Numbers 3 6 27 5 8 39 1 7 48 3 4 Quora
Bilangan Bulat
Hasil Dari 2 3 4 1 1 2 Dikurang 1 3 5 Brainly Co Id
Ex 4 1 11 Prove 1 1 2 3 1 2 3 4 1 3 4 5 1 N N 1 N 2
Jawaban Buku Matematika Kelas 8 Ayo Kita Berlatih 1 4 Hal 22 Tentukan 3 Bilangan Selanjutnya Pentium Sintesi
No 6 Hasil Dari 3 2 5 1 1 3 2 6 Adalah No 7 Hasil Dari 2 1 2 Kali 0 33 Adalah No 8 Hasil Brainly Co Id
Hasil Dari 81 Pangkat 1 4 X 4 Pangkat 3 2 Youtube
Issuu Pdf Downloader
1 Hasil Dari 2 7 8 1 5 12 2 Hasil Dari 3 10 4 15 3 Nilai N Dari 3 1 2 1 4 5 N Adalah 4 Brainly Co Id
How To Find The Least Common Denominator Wikihow
Jawaban Soal Smp Tvri Kamis 6 Agustus Hasil Dari 3 2 2 5 7 2 3 5 Adalah Tribun Ternate
Hasil Dari 8 Pangkat 5 Per 3 Youtube
Tentukan Hasil Dari 1 2 3 4 5 6 7 8 100 Youtube
Rpp Operasi Matriks Penjumlahan Pengurangan Perkalian Dengan Sebua
Tentukan Hasil Dari 1 2 3 4 5 8 7 16 Brainly Co Id
Hasil Dari 81 Pangkat Sup 3 Sup Sub 4 Sub Solusi Matematika
Kunci Jawaban Tentukan Hasil Dari Tanpa Menghitung Satu Persatu 1 3 5 7 9 99 Rofa Education Centre
Rangkuman Dan Soal Operasi Hitung Pecahan Materi Belajar Dari Rumah Tvri Kelas 4 6 Sd Semua Halaman Bobo
Tentukan Hasil Penjumlahan 2 1 3 3 4 Dan 2 3 2 1 2 3 1 4 Youtube
Soal Un Matematika Smp Tahun 14 Dan Pembahasannya
Soal Un Matematika Smp Tahun 14 Dan Pembahasannya
Urutkan Pecahan Berikut Dari Yang Terkecil Sampai Terbesar 2 3 3 5 4 8 1 6 Soal Tvri Kamis 4 Juni Tribun Pontianak
Bilangan Matematika Kelas 7 Bse Kurikulum 13 Revisi 16 Uk 1 3 U No7 Penjumlahann Cara Gaus Youtube
Kunci Jawaban Tentukan Hasil Dari Tanpa Menghitung Satu Persatu 1 3 5 7 9 99 Rofa Education Centre
Hasil Dari 2 2 3 X 1 5 8 1 3 4 Hasil Dari 2 2 3 X 1 5 8 1 3 4 Adalah Dengan Caranya Brainly Co Id
Nama
Hitunglah Hasil Dari 3 2 3 1 8 1 1 4 6 3 4 Brainly Co Id
How To Find The Least Common Denominator Wikihow
Hasil Dari 3 4 2 5 Adalah Brainly Co Id
Hasil Dari 4 2 5 1 2 3 5 8 Adalah Brainly Co Id
Barisan Dan Deret Ppt Download
Cara Mengerjakan Deret Angka 1 1 3 2 5 3 Guru Ilmu Sosial
Urutkan Pecahan Berikut Dari Yang Terkecil Sampai Yang Terbesar
Brainly The Homework App Apps On Google Play
How To Do Fractions With Pictures Wikihow
Soal Dan Jawaban Belajar Dari Rumah Tvri 10 September Sd Kelas 1 3 Halaman All Kompas Com
Materi Belajar Dari Rumah Tvri 16 Juli Sd Kelas 4 6 Halaman All Kompas Com
Menentukan Hasil Dari 1 2 3 4 5 6 7 8 100 Youtube
Hasil Dari 2 1 8 1 3 4 3 5 6 4 1 4 Brainly Co Id
1 2 5 3 4 1 2 2 3 6 1 3 2 5 3 4 6 3 5 4 9 12 1 6 5 7 9 1 6 Youtube
Pdf Cytotoxic Potency Of Diterpenes From Jatropha Plants
Issuu Pdf Downloader
Hasil Dari 2 3 1 4 2 3 1 4 Adalah Brainly Co Id
How To Do Fractions With Pictures Wikihow
Berapa Hasil Dari 9 5 2 4 8 1 3 4 50 Brainly Co Id
Kelas10 Sma Matematika
Cara Mengerjakan Deret Angka 1 1 3 2 5 3 Guru Ilmu Sosial
Soal Un Matematika Smp Tahun 14 Dan Pembahasannya
Hasil Dari 2 2 Per 3 1 5 Per 8 1 3 Per 4 Adalah Dengan Caranya Ya Makasih Brainly Co Id
Berapa Hasil 6 1 4 1 3 4 2 5 6 Youtube
Rumus Kuartil Desil Persentil Simpangan Dan Contoh Soal
Tentukan Hasil Operasi Hitung Pecahan Berikut Jawaban Sd Kelas 4 6
Kelas10 Sma Matematika
If 1 2 3 3 4 21 5 6 55 Then What Does 4 5 Quora
Jawaban Soal Smp Tvri Kamis 6 Agustus Hasil Dari 3 2 2 5 7 2 3 5 Adalah Halaman 2 Tribun Ternate
Jawaban Buku Matematika Kelas 8 Ayo Kita Berlatih 1 4 Hal 22 Tentukan 3 Bilangan Selanjutnya Pentium Sintesi
1 2 3 4 Wikipedia
Why Does Evi Index Not Saturated However Ndvi Does
Tentukan Hasil Penjumlahan 2 1 3 3 4 Dan 2 3 2 1 2 3 1 4 Youtube
Berilah Tanda Silang X Pada Huruf A B C Atau D Di Depan Jawaban Yang Paling Benar
Jawaban Buku Matematika Kelas 8 Ayo Kita Berlatih 1 4 Hal 22 Tentukan 3 Bilangan Selanjutnya Pentium Sintesi
How To Add Fractions 15 Steps With Pictures Wikihow
Berapa Hasil Dari 1 7 18 X 1 6 7 X 5 8 2 4 3 4 X 6 8 3 2 3 4 5 1 2 4 2 3 8 1 7 8 Brainly Co Id
Poster Belajar Matematika Penjumlahan Tipe 01 Tipe 04 Shopee Indonesia
Cara Mengerjakan Deret Angka 1 1 3 2 5 3 Guru Ilmu Sosial
Hasil Dari 5 Per 8 2 Per 3 Dikali 1 Per 4 Brainly Co Id
Bedah Skl Ujian Nasional Matematika Smp Tahun 18 303 Soal
Soal Un Matematika Smp Tahun 14 Dan Pembahasannya
Bilangan Bulat
Results Of Species Specific Pcr Assays Agarose Gel Electrophoresis Of Download Scientific Diagram
How To Add Fractions 15 Steps With Pictures Wikihow
Hasil Dari 4 2 5 1 2 3 5 8 Adalah Brainly Co Id
Hasil Dari 3 1 5 1 2 5 1 3 4 Brainly Co Id
Kunci Jawaban Sd Kelas 4 6 Pecahan Dan Desimal
2
How To Do Fractions With Pictures Wikihow
What Is The Value Of 1 2 3 4 5 6 7 1000 Quora
Kumpulan Soal Dan Jawaban Terlengkap Tvri Sd Kelas 1 2 3 4 5 6 Smp Dan Sma Selasa 28 April Halaman All Tribun Pontianak


